電解水技術可去除農殘
”民以食為天,食以安為先”,食品安全與民眾的身體健康息息相關,也直接或間接影響到經濟發展與社會穩定。
食品安全問題

目前我國面臨的食品安全問題主要有以下類型:
一、生物性污染,生物性污染導致的疾病包括微生物引起的食源性疾病及其代謝毒素對健康的潛在威脅。食源性疾病是當前影響中國食品安全、危害公眾健康的最主要因素。
二、化肥農藥的殘留,過量施用氮肥使大量的硝酸鹽積蓄在作物體內,對作物本身無害,但對人畜有害。農藥的過量和超范圍使用,使食品中農藥殘留量增大,危害更嚴重。
三、環境對農副產品的污染,化工廠排放的化學物質、煤煙粉塵、酸雨中的化學物質等以及水體污染也會使漁業和農產品的安全性受到威脅。
四、抗生素與合成激素的濫用,動物性食物中的化學物質主要來自飼料添加劑。抗生素是畜禽養殖中常用的飼料添加劑, 應用量過大或使用不當, 都可通過食用肉、蛋、奶途徑將抗生素轉移到人類身上。
五、食品加工環節,違規使用添加劑,食品中含有有毒、有害物質 ,在生產制作、加工處理的環節中違規地使用防腐劑、色素、添加劑等,為食品的安全性埋下隱患。
近年來在食品工業生產領域中電解水技術的應用主要集中在:果蔬消毒和鮮切產品貯藏、水產肉蛋的殺菌、農藥殘留和污染物降解以及芽苗菜促生長等。?
之前,關于電解水在食品微生物殺滅和保鮮中的應用我們已經介紹過很多,今天我們就來介紹一下電解水技術在農藥殘留去除中的應用。
同時,網絡上對電解水技術去除農藥殘留也存在著許多質疑,通過本文也希望大家可以認識到電解水技術對農殘去除的作用和可行性。
農藥殘留的類型
在我國常用的300多種農藥中,殺蟲劑占60%(發達國家為30%)。在殺蟲劑中,?有機磷農藥占70%。有機磷類農藥微溶于水,遇堿破壞。其常見類型有有對硫磷、內吸磷、馬拉硫磷、樂果、敵百蟲、毒死蜱及敵敵畏等。
氨基甲酸酯類農藥,是在有機磷酸酯之后發展起來的合成農藥,其在水中溶解度較高,氨基甲酸酯類農藥一般無特殊氣味,在酸性環境下穩定,遇堿分解。常見的氨基甲酸酯類農藥有西維因、涕滅威、呋喃丹、異索威等。
而擬除蟲聚酯類農藥中包含溴氰菊酯、氯氰菊酯、高效氯氰菊酯、氟氰菊酯、氯氟氰菊酯等。此類農藥的水溶性一般較差,且酯類在堿性條件下極易產生水解反應。
電解水去農殘技術研究
近年來,國內外學者在電解水技術用于果蔬農藥殘留上進行了大量的研究,證明了電解水技術對農殘去除的可行性。
中國農業大學的劉海杰等研究了堿性電解水對果蔬中的高效氯氟氰菊酯農藥殘留的去除效果。結果表明,堿性電解水對于高效氯氟氰菊酯農藥有較好的去除效果,最佳條件是pH11.0的堿性電解水,在20℃靜置處理蘋果1.5h,降解率可以達到75%以上。?
邯鄲市疾病預防控制中心的胡朝暉等研究了有效氯濃度為79.66ppm、pH值為6.0的微酸性電解水對韭菜中有機磷農藥殘留的去除效果。結果表明,在15min的處理時間內微酸性電解水對有機磷農藥殘留的消除效果優于同一有效氯濃度的NaClO溶液。
總后勤部軍需裝備研究所的繩以健等研究了臭氧在光催化作用下產生的羥基自由基(·OH) 對高效氯氰菊酯( 4.5%) 、吡蟲啉和樂果三種農藥殘留的去除效果。結果表明,在20min的處理時間內采用新型果蔬清洗機對黃瓜進行清洗,高效氯氰菊酯農殘去除率為87.6%;樂果農殘的去除率為90.3%; 吡蟲啉農殘的去除率為91.8%。
堿性電解水主要對氨基甲酸酯類和擬除蟲聚酯類農藥具有較好的降解效果。酸性條件下酯的水解不完全,堿性條件下酯的水解趨于完全,這是因為堿性條件下,OH-直接對酯進行加成,之后按照加成消除反應得到羧酸鹽與醇,這個反應中,是OH-直接參與反應。
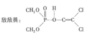
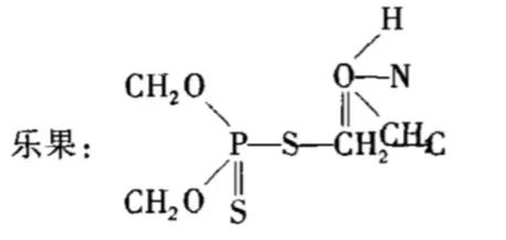
羥基自由基是一種強氧化劑,其氧化電位為 +2.80V, 僅次于氟而居第二位。羥基(·OH )不僅能夠打破甲基對硫磷、馬拉硫磷、 樂果、敵敵畏等有機物分子結構中的烯炔、炔烴等碳鏈, 而且 對其“二氯乙烯基”、“硝基”、“甲氧基 ”、“氨基”等基團有著強烈的氧化作用。這種打斷連接鍵和基團氧化的雙重作用使得上述物質的分子結構發生徹底改變, 改變了農藥的性質, 從而起到解毒、降低農藥殘留的作用。以下以敵敵畏和樂果為例介紹羥基自由基對農殘的降解機理:

經羥基自由基氧化后,二氯乙烯基與磷酸基之間的“O-C”鏈被打斷,兩個甲基與磷酸基之間的鍵也被打斷,其結構改變,毒性消除。

甲基氨基甲酰甲基與硫代磷酸基之間的鏈接被打開,甲基、氨基與甲酰基脫離,結構改變,分子變小,從而降解。
而酸性電解水的主要成分為次氯酸,次氯酸也是一種氧化性較強的物質,其標準氧化電位為1.36V,其對農藥的降解機理與羥基自由基相似。
果蔬清洗產品

近年來,果蔬清洗機市場出現持續繁榮的情況,其中最熱門的技術就是電解水羥基技術,以下為某品牌果蔬清洗機的技術介紹:
顯然,電解水技術在果蔬農殘去除中的作用是無需置疑的。但是,當前果蔬清洗機尚沒有國家標準,對于產品的技術指標、檢測方法等也沒有形成標準和規范。關于果蔬清洗機,有以下問題需要大家共同探討:

1.活性物質的發生量有多少?采用自來水進行電解時,由于自來水中含有殘留氯離子,在電解條件下會同時產生次氯酸和羥基自由基,而因為全國水質的差異,次氯酸的發生量無法作為測試指標,因此確定羥基自由基的產生量具有重要意義。
2.電解反應過程是否存在中間產物?由于電解時間和電解條件的差異,農殘在降解過程不可能完全降解為水、無機鹽和二氧化碳,因此,有必要對電解氧化過程中間產物進行深入探討。
3.各類農殘的去除效果差異?農藥殘留的類型較多,不同農藥的理化性質存在較大差異,因此探究電解水羥技術對不同類型農殘去除的差異也有相當的必要性。
總? 結
綜上所述,采用電解技術(不論是酸性電解水、堿性電解水或電解水羥基)被證明在農殘去除時都具有一定的效果,尤其是電解水羥基技術因其無需電解質耗材、作用后無殘留等特點,在近年來得到了廣泛的應用。
電解水技術助力食品安全,是為您把好生鮮食品入口前最后一道關的有力保證!